
Молоко — продукт скоропортящийся, и даже отметка о сроке годности не является гарантией того, что оно не прокисло. Результаты недавнего американского исследования показывают, что жители страны выбрасывают на помойку около 20 % всех молочных продуктов. И этому есть причина — годность молока можно определить только вскрыв упаковку.
Решение этой проблемы предлагают исследователи из Университета Нового Южного Уэльса (UNSW) в Сиднее. Их приложение для смартфона VibMilk позволяет определить годность молока с помощью встроенной в гаджет функции вибрации без необходимости вскрывать упаковку.
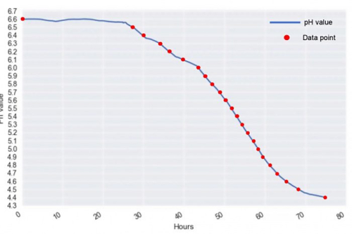
Технология основана на том, что по мере порчи молока его физические свойства изменяются. К примеру, у свежего молока рН 6,6, а у прокисшего — 4,4, и это можно определить по реакции молока на вибрацию. За нее отвечает вибродвигатель смартфона, а за обработку сигнала — инерциальный измерительный блок (IMU), который с помощью алгоритмов машинного обучения присваивает проверяемому молочному продукту один из 23 уровней рН.



